云南师大附中2026届高三高考适应性月考卷(1月卷)(黑黑黑黑黑白白白白)数学答案
发布时间:2026-01-17
139****2045
详细信息
ID:07545895
分类:云南师大附中2026届高三高考适应性月考卷(1月卷)(黑黑黑黑黑白白白白)数学答案
资源大小:617KB
知识点:
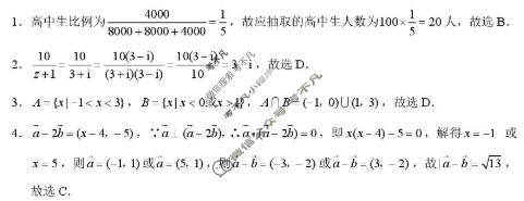
资源详情:云南师大附中2026届高三高考适应性月考卷(1月卷)(黑黑黑黑黑白白白白)数学答案 中内容包括《云南师大附中2026届高三高考适应性月考卷(1月卷)(黑黑黑黑黑白白白白)数学答案》请在考不凡上搜索。数学参考答案一、单选题:本大题共8小题,每小题5分,共40分.在每小题给出的四个选项中,只有一项符合题目要求的题号12345678答案BDDCCBAC【解析】1.高中生比例为4000S-故应抽取的高中生人数为100×一15=20人,故选B.8000+8000+4000101010(3-i)10(