[天一大联考]河南省2025-2026学年高二3月联考(HN202603)物理B卷答案
发布时间:2026-03-25
180****2846
详细信息
ID:18866353
分类:[天一大联考]河南省2025-2026学年高二3月联考(HN202603)物理B卷答案
资源大小:828KB
知识点:
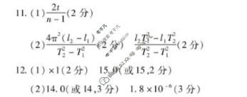
资源详情:[天一大联考]河南省2025-2026学年高二3月联考(HN202603)物理B卷答案 中内容包括《[天一大联考]河南省2025-2026学年高二3月联考(HN202603)物理B卷答案》请在考不凡上搜索。高二物理(B)答案1~7题每小题4分,共28分,在每小题给出的四个选项中,只有一项是符合题目要求的。8~10题每小题6分,共18分,在每小题给出的四个选项中,有多个选项是符合题目要求的,全部选对的得6分,选对但不全的得3分,有选错的得0分。1.A2.C3.B4.D5.C6.D7.B8.BC9