辽宁省辽南协作体2024-2025学年下学期高三第三次模拟考试(5月)数学答案
发布时间:2025-05-19
177****4693
详细信息
ID:19227604
分类:辽宁省辽南协作体2024-2025学年下学期高三第三次模拟考试(5月)数学答案
资源大小:636KB
知识点:
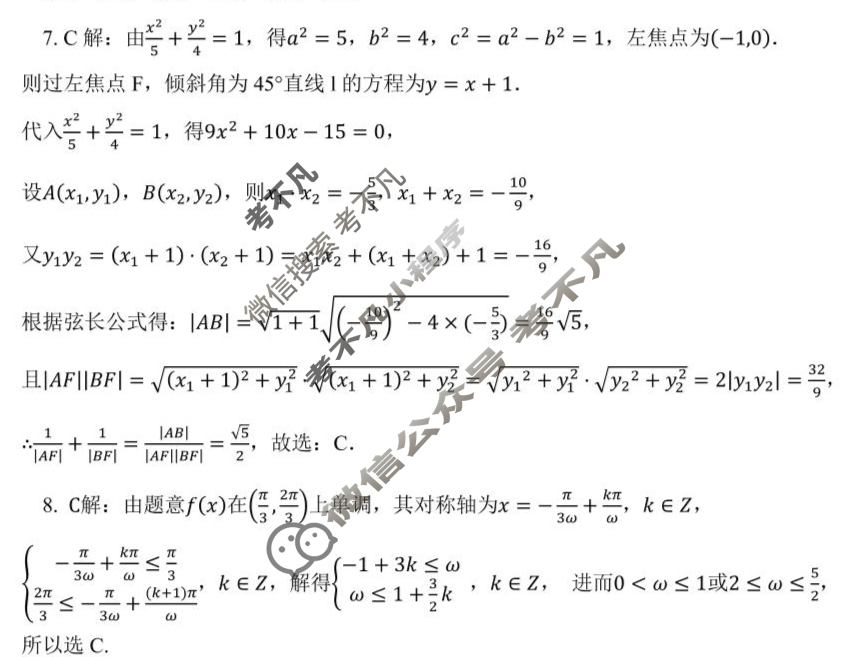
资源详情:辽宁省辽南协作体2024-2025学年下学期高三第三次模拟考试(5月)数学答案 中内容包括《辽宁省辽南协作体2024-2025学年下学期高三第三次模拟考试(5月)数学答案》请在考不凡上搜索。2024一2025学年度下学期高三第三次模拟考试试题数学参考答案一、单项选择题1.B2.D3.C4.A5.D6.B7.C解:号+号=1,得a2=5,b2=4,c2=a2-b2=1,左焦点为(-1,0).则过左焦点F,倾斜角为45°直线1的方程为y=x+1.代入号+号=1,得9x2+10x-15=0,