[益卷]2025年陕西省初中学业水平考试全真模拟(二)2数学A答案
发布时间:2025-04-29
184****2742
详细信息
ID:20442524
分类:[益卷]2025年陕西省初中学业水平考试全真模拟(二)2数学A答案
资源大小:737KB
知识点:
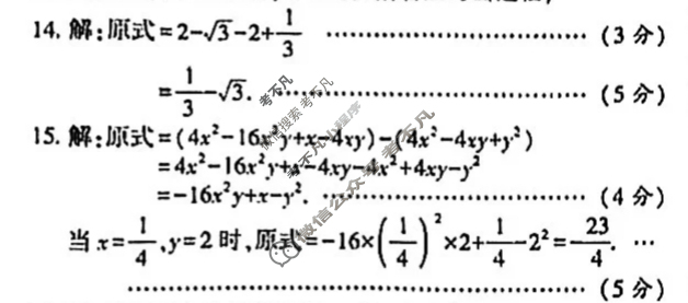
资源详情:[益卷]2025年陕西省初中学业水平考试全真模拟(二)2数学A答案 中内容包括《[益卷]2025年陕西省初中学业水平考试全真模拟(二)2数学A答案》请在考不凡上搜索。绝密★启用前试卷类型:A2025年陕西省初中学业水平考试全真模拟(二)数学参考答案及评分标准一、地择脑(共8小题,每小随3分,计24分.每小题只有一个共有12种等可能的结朵,其中取出的2个球怡好都是黄球逝项是符合题国要求的】的结果有2种.期1234568“取川州的2个球恰都是黄球的概率为名=】0…进项DCBCA