[安徽第一卷]2023-2024学年安徽省九年级教学质量检测四Ⅳ(1月)数学(人教版)答案
发布时间:2024-01-17
172****9224
详细信息
ID:20444150
分类:皖智教育,2024届,九年级教学质量检测,四Ⅳ(1月),数学(人教版)
资源大小:815KB
知识点:皖智教育
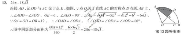
资源详情:[安徽第一卷]2023-2024学年安徽省九年级教学质量检测四Ⅳ(1月)数学(人教版)答案 中内容包括《[安徽第一卷]2023-2024学年安徽省九年级教学质量检测四Ⅳ(1月)数学(人教版)答案》请在考不凡上搜索。