高三2024年普通高等学校招生全国统一考试压轴卷(T8联盟)(二)数学答案
发布时间:2024-05-07
151****8099
详细信息
ID:26599611
分类:高三2024年普通高等学校招生全国统一考试压轴卷(T8联盟)(二)数学答案
资源大小:678KB
知识点:
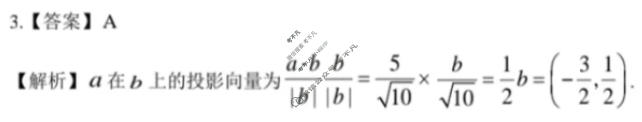
资源详情:高三2024年普通高等学校招生全国统一考试压轴卷(T8联盟)(二)数学答案 中内容包括《高三2024年普通高等学校招生全国统一考试压轴卷(T8联盟)(二)数学答案》请在考不凡上搜索。D2024年普通高等学校招生全国统一考试压轴卷(T8联盟)数学试题(二)参考答案及多维细目表题号1234567891011答案CBAADDBDCDBCDAC1.【答案】C【解析】样本数据12.8.32,10,24.22,12,33,按从小到大排序为8.10.12,12,22,24,32.33:8×60%