福清市2025-2026学年第一学期七年级校内期中质量检测(11月)数学答案
发布时间:2025-11-13
180****6485
详细信息
ID:37866471
分类:福清市2025-2026学年第一学期七年级校内期中质量检测(11月)数学答案
资源大小:964KB
知识点:
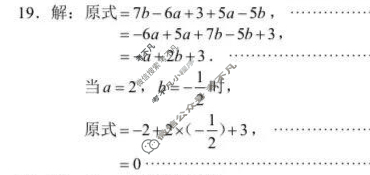
资源详情:福清市2025-2026学年第一学期七年级校内期中质量检测(11月)数学答案 中内容包括《福清市2025-2026学年第一学期七年级校内期中质量检测(11月)数学答案》请在考不凡上搜索。17:16令■,〈七年级数学校内期中质量检测答案11.11.p2025-2026学年第一学期七年级校内期中质量检测数学试题答案及评分参考一、选择题题号12345678910答案DBCBCBCAAD二、填空题.11.>12.3.1413.5m+3n14.-215.3a+21d16.-a2-3三、解答题.