[天一大联考]高三2026届高考全真模拟卷(八)8生物(河南专版)答案
发布时间:2025-12-26
145****7603
详细信息
ID:43865355
分类:2026届,全真模拟卷,八,生物(河南专版),天一大联考
资源大小:900KB
知识点:天一大联考
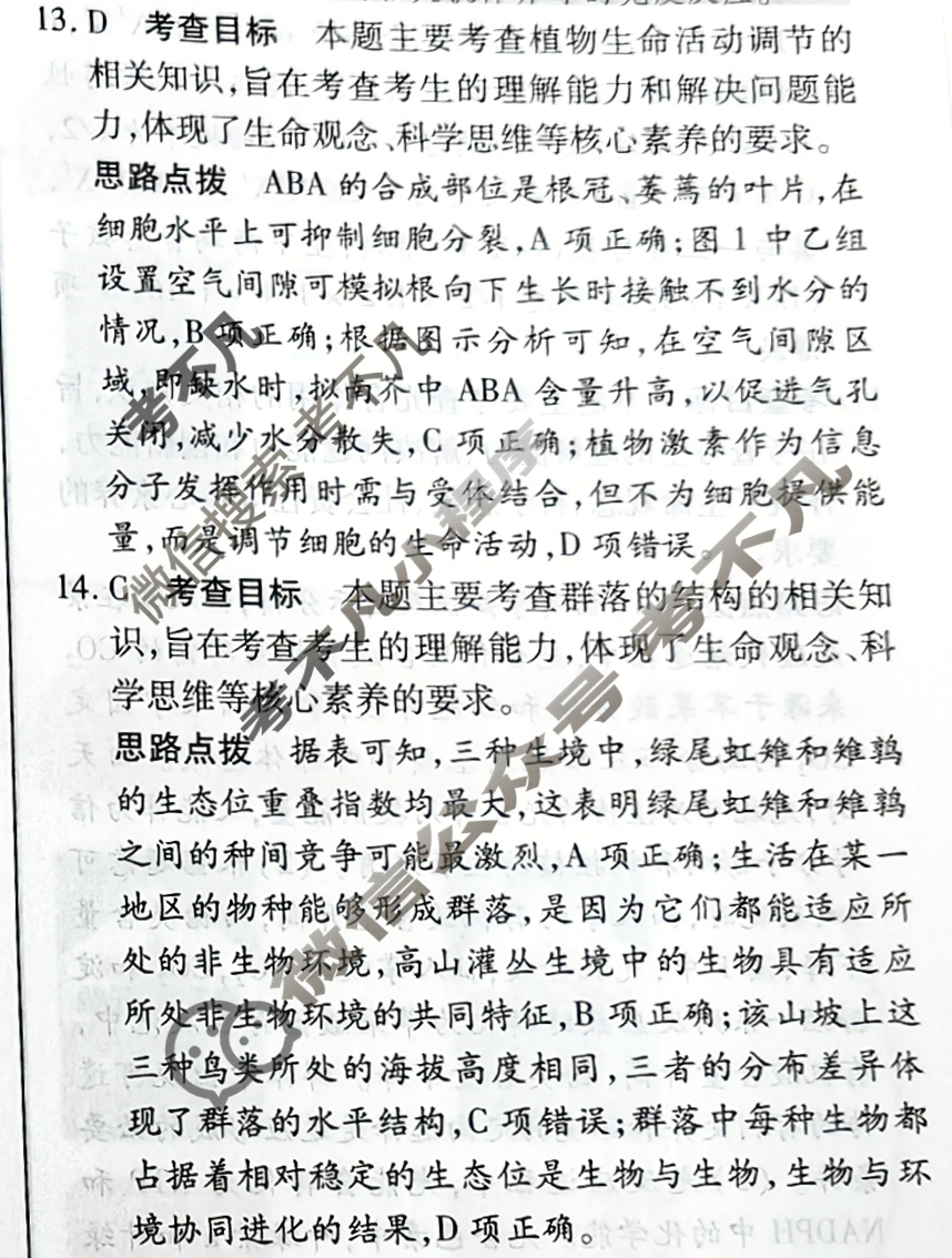
资源详情:[天一大联考]高三2026届高考全真模拟卷(八)8生物(河南专版)答案 中内容包括《[天一大联考]高三2026届高考全真模拟卷(八)8生物(河南专版)答案》请在考不凡上搜索。高考全真模拟卷(八)养素小食热报于用补要生素制血高机点思选择题答案速查心非特人城菌箱题号1723045页617平8答案DB\Cve}$日面丁$\ra{B}$AMDA题号910111213141516阳小日答案D3AC吉DDCB中C1.D考查目标本题主要考查细胞中无机盐的作用的相关知识,旨在考查考生的理解能力