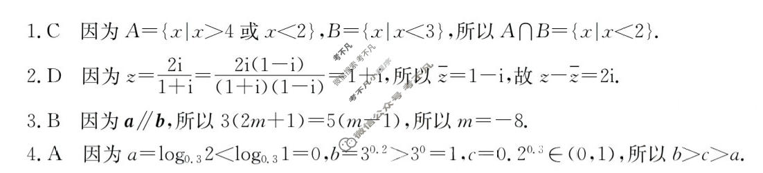
广东省2023-2024学年高三金太阳期末考试(24-271C)数学答案
发布时间:2024-01-25
185****9986
详细信息
ID:85506855
分类:金太阳,2024届, 1月联考,24-271C,数学
资源大小:807KB
知识点:金太阳
资源详情:广东省2023-2024学年高三金太阳期末考试(24-271C)数学答案 中内容包括《广东省2023-2024学年高三金太阳期末考试(24-271C)数学答案》请在考不凡上搜索。