https://www.kaobufan.com/
登录
首页 新闻动态 奖励规则 联系我们 关于我们
  1. 考不凡
  2. 试题详情

孝感市新高考协作体2025-2026学年秋季高二期中数学答案

发布时间:2025-11-08 189****6061
详细信息
ID:90852764 分类:孝感市新高考协作体2025-2026学年秋季高二期中数学答案 资源大小:832KB 知识点:
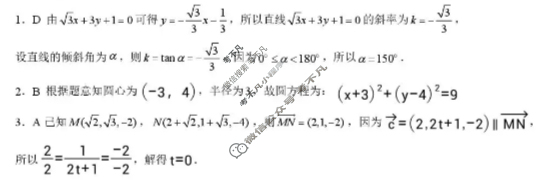
资源详情:孝感市新高考协作体2025-2026学年秋季高二期中数学答案 中内容包括《孝感市新高考协作体2025-2026学年秋季高二期中数学答案》请在考不凡上搜索。2025-2026学年度秋季高二期中考试数学试卷参考答案一、单选趣:14DBAD5-8BCCA1.D由3x+3w+1=0可得y=-号-所以直线V+3y+1=0的斜率为k=-33设直线的倾斜角为C,则k-tana=-,因为0°≤a2、v5,b=0时,,(11,0),e22v3.1,e,2,4,0)x+2y=2假设E=吗
试题 答案
孝感市新高考协作体2025-2026学年秋季高二期中数学答案 由考不凡收集汇总,获取更多试题答案,请关注考不凡,回复“答案90852764”进行查看。

孝感市新高考协作体2025-2026学年秋季高二期中数学答案

资源验证结束

1.0金币/1次查看

点赞

分享

0人喜欢

  • 相关资源
  • 孝感市新高考协作体2025-2026学年秋季高二期中政治试题
  • 孝感市新高考协作体2025-2026学年秋季高二期中政治答案
  • 孝感市新高考协作体2025-2026学年秋季高二期中物理试题
  • 孝感市新高考协作体2025-2026学年秋季高二期中物理答案
  • 孝感市新高考协作体2025-2026学年秋季高二期中生物试题
  • 孝感市新高考协作体2025-2026学年秋季高二期中生物答案
  • 孝感市新高考协作体2025-2026学年秋季高二期中英语试题
  • 孝感市新高考协作体2025-2026学年秋季高二期中英语答案
  • 孝感市新高考协作体2025-2026学年秋季高二期中数学试题
  • 孝感市新高考协作体2025-2026学年秋季高二期中数学答案
  • 孝感市新高考协作体2025-2026学年秋季高二期中化学试题
  • 孝感市新高考协作体2025-2026学年秋季高二期中化学答案
  • 孝感市新高考协作体2025-2026学年秋季高二期中历史试题
  • 孝感市新高考协作体2025-2026学年秋季高二期中历史答案
  • 孝感市新高考协作体2025-2026学年秋季高二期中地理试题
  • 孝感市新高考协作体2025-2026学年秋季高二期中地理答案
  • 孝感市新高考协作体2025-2026学年秋季高二期中语文试题
  • 孝感市新高考协作体2025-2026学年秋季高二期中语文答案
  • 热门资源
  • 随机资源
  • NT 2023届陕西省高三年级质量检测语文试题

  • 2023全国高考分科综合卷(二)2化学LL(A)试题

  • 2022年高考真题(全国乙卷)语文试题

  • 河北省张家口市2022-2023学年八年级第一学期六年一贯制12月月考语文答案

  • 河北省2022-2023学年度七年级第一学期素质调研三(12月)生物(人教版)试题

  • 广西南宁市2022年秋季学期九年级期中作业质量监测语文试题

  • 安徽省2022~2023学年度第一学期高一年级12月联考(231301D)语文试题

  • 2023年全国高考·模拟调研卷LLY(六)6语文试题

  • 陕西省汉中市2023届高三年级教学质量第一次检测考试(12月)语文试题

  • 陕西省2023年宝鸡市高考模拟检测(一)1文科综合试题

标签

  • 灵武市第一中学
  • 青岛市
  • 学业能力评鉴(三)3
  • [金考汇教育]
  • (26-T-074C)
猜你喜欢
  • 2022年高考真题(浙江卷)语文试题
  • 河北省邢台市2022-2023学年高二上学期第三次月考语文试题
  • 2022年高考真题(新高考Ⅰ卷)语文试题
  • 江苏省2022~2023学年度高三年级第一学期期末模拟测试英语试题
  • 山东省2022-2023学年新高考联合质量测评12月联考试题(2022.12)语文试题
  • 石家庄2022-2023学年高三第一学期第三次调研考试语文试题
  • 江苏省南京市2022-2023学年第一学期12月六校联合调研考试语文试题
  • 2022年高考真题(全国甲卷)语文试题
  • 安徽省2023届高三第一次五校联考(12月)语文试题
  • 安徽省2022-2023学年上学期九年级教学质量抽测三语文试题

Copyright © 2022-2023 考不凡 https://www.kaobufan.com/

考不凡 版权所有 陕ICP备2022012231号 联系方式:admin@kaobufan.com

温馨提示

请关注“考不凡”公众号,回复“答案90852764”进行查看
https://www.kaobufan.com/