2026届浙江省名校协作体G12联盟高三下学期3月联考数学答案
发布时间:2026-03-06
184****9106
详细信息
ID:97256510
分类:2026届浙江省名校协作体G12联盟高三下学期3月联考数学答案
资源大小:998KB
知识点:
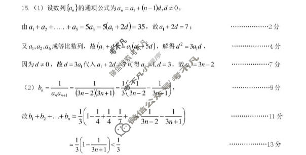
资源详情:2026届浙江省名校协作体G12联盟高三下学期3月联考数学答案 中内容包括《2026届浙江省名校协作体G12联盟高三下学期3月联考数学答案》请在考不凡上搜索。一、单选题高三数学练习参考答案12345678DACCBADC二、多选题91011ACACDABC三、填空题12y=2x33-513.14.382四、解答题15.(1)设数列{a}的通项公式为aa1+(n−1)d≠0,由a+a₂+..+a5=5a=5(a₁+2d)=35,故a+2d=7;分又a₁,a₂,a成等比数列