[天一大联考]山西省2025-2026学年高一4月联考(SHAX202604)数学答案
发布时间:2026-04-22
184****7669
详细信息
ID:98728777
分类:2026届,高一联考,山西4月,数学,天一大联考
资源大小:686KB
知识点:天一大联考
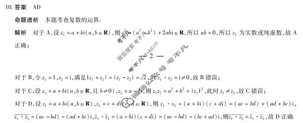
资源详情:[天一大联考]山西省2025-2026学年高一4月联考(SHAX202604)数学答案 中内容包括《[天一大联考]山西省2025-2026学年高一4月联考(SHAX202604)数学答案》请在考不凡上搜索。高一数学·答案一、单项选择题:本题共8小题,每小题5分,共40分答案C命题透析本题考查复数的除法运算.解析2-i(2-i)(1-i)131+i=(1+i)(1-i)=2一i2答案D命题透析本题考查单位向量的概念解析由题可知la|=2,所以与a=(1,−√3)同方向的单位向量的坐标为1√sq3